If you can imagine it, you can do it
Don’t underestimate
the power of daydreaming. When you imagine a world where you accomplish your
dreams, you are helping yourself to turn those dreams into reality.
In the 1970s
Bandura described the theory of self-efficacy, according to which expectations
of personal efficacy alter the level and strength of self-efficacy in reality
(Banduras, 1977). If you have a positive state of mind and you believe that you
will succeed, the actual chances of your success raise; on the other hand, if
you don’t believe you will succeed, it is more probable that you won’t. Self-efficacy
has been proven to be effective in areas such as sport (Moritz, Feltz, Fahrbach
& Mack, 2000), or education: students who believe in their capabilities are
more motivated to learn and perform better (Zimmerman, 1999), as it will be
discussed later.
There are four
major sources that inform expectations of self-efficacy: performance
accomplishments, vicarious experience, verbal persuasion and physiological
state. Performance accomplishments are based on personal mastery experiences,
thus personal success increases mastery expectations and failures lower them.
The influence of disappointment can be reduced by repeated accomplishments and
it depends on the timing and pattern of positive and negative experiences. Vicarious
experience provides a source of information for generating expectations of
situations that have never been personally experienced, but have been
witnessed. Seeing someone doing well increases your expectations of doing well
and seeing someone failing, negatively affects your expectations. Verbal
persuasion influences human behaviour by expressing possible expectations,
which impinge on self-efficacy. Whether you tell yourself you can do it, or
others convince you that you can, you will be ready to master difficult
situations. Emotions contain an evaluative carriage, which can inform
self-efficacy through physiological arousal. Having a good or a bad feeling towards
something alters your motivations for action and, consequently, efficacy.
James Maddux
recently suggested another source that can implement self-efficacy: the power
of imagination (Maddux & Kleiman, 2009). The vividness of our imagined
experiences can sometimes surprise us, its power and usefulness are
underestimated. How many times do parents tell their children to stop dreaming
and start focussing on reality? According to Maddux, imagination is just as
influential to our perception of efficacy as the sources suggested by Bandura. Bandura’s
sources depend on our worldly experiences; therefore, they are not as arbitrary
as our thoughts and dreams can be. The way we imagine our future achievements
doesn’t have to be tied to reality, it can go as far as our dreams can take us.
Creating expectations of efficacy based on our daydreams can significantly
influence our behaviour: picturing yourself doing something well, or doing
something extraordinary, increases your chances of turning that dream into
reality. Evidence supports the hypothesis that mental imagery changes
behaviours and aids effective goal achievement (Conroy & Hagger, 2017;
Hagger, 2018).
Self-efficacy
theories can explain the influence of our mindset on our achievements. Carol
Dweck (2014) applied the idea to education, exploring the power of believing
you can improve. She discovered that having a growth mindset significantly
improves learning, whereas a fixed mindset, even if supported by hard work,
doesn’t acquire the same outcomes. Longitudinal studies show the effectiveness
of mindset on academic achievements, for example believing in your intelligence
has positive repercussions on your learning curve (Blackwell, Trzesniewski &
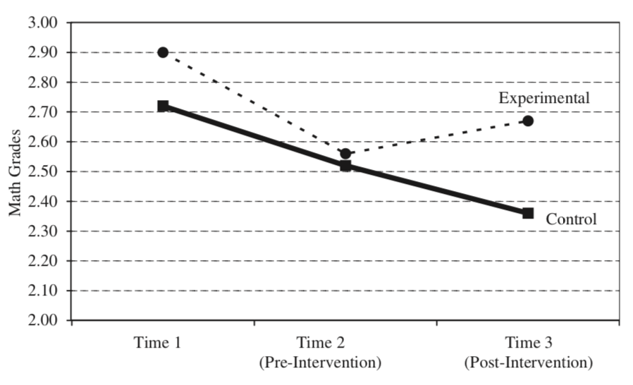
Dweck, 2007). Children in the experimental condition, who had been exposed to a
teaching intervention improved significantly; whereas children in the control
condition, who did not believe in the malleability of their intelligence, did
not have a positive learning curve (Figure 1).
![]() |
| Figure 1: Blackwell et al. (2007) |
If students can
apply imagination to a growth mindset, their achievements will benefit
significantly, as they will implement self-efficacy by informing their
expectations through the power of imagining their success. Imagination allows
you to explore an infinity of dreams, without the limits imposed by reality and
coupling imagination with a positive attitude can make you believe that your
dreams can become true. “Imagination is more important than knowledge. For
knowledge is limited to all we now know and understand, while imagination
embraces the entire world, and all there ever will be to know and understand.”
(A. Einstein)
References:
Bandura, A. (1977).
Self-efficacy: Toward a unifying theory of behavioral change. Psychological
Review, 84(2), 191-215.
http://dx.doi.org/10.1037/0033-295x.84.2.191
Blackwell, L., Trzesniewski, K.,
& Dweck, C. (2007). Implicit Theories of Intelligence Predict Achievement
Across an Adolescent Transition: A Longitudinal Study and an
Intervention. Child Development, 78(1), 246-263. http://dx.doi.org/10.1111/j.1467-8624.2007.00995.x
Conroy, D., & Hagger, M. S.
(2018). Mental Imagery Meta-analysis. Retrieved from psyarxiv.com/d4fjv
Dweck, C. (2014). The power of believing that you
can improve. Ted.com. Retrieved 18 March 2018, from https://www.ted.com/talks/carol_dweck_the_power_of_believing_that_you_can_improve)
Hagger, M. S. (2018). Changing
Behaviour Using Mental Imagery Manual. Retrieved from psyarxiv.com/7q65p
Maddux, J., & Kleiman, E.
(2009). Self-Efficacy: The Power of Believing You Can. In S. Lopez & C.
Snyder, Self-Efficacy: The Power of Believing You Can (2nd
ed.). Oxford: Oxford University Press.
Moritz, S., Feltz, D., Fahrbach,
K., & Mack, D. (2000). The Relation of Self-Efficacy Measures to Sport
Performance: A Meta-Analytic Review. Research Quarterly For Exercise
And Sport, 71(3), 280-294.
http://dx.doi.org/10.1080/02701367.2000.10608908

No comments:
Post a Comment
Note: Only a member of this blog may post a comment.