It’s
dissertation time at Warwick University, and all those doing experiments are
scrambling for participants wherever and whenever our timetables allow.
Thankfully, there’s an easy way to get other experimenters to take part in
yours: just offer to participate for them in return!
Although
somewhat questionable when it comes to ethics (did they really volunteer to
take part if they’re getting something in return…?), this is a prime example of
the norm of reciprocity: the reason you feel you must do something nice for
someone who’s helped you out in the past (Cialdini, 2009).
One
key part of reciprocity is the trust that you must place in the other person –
how can you be sure that they’ll do your experiment if you do theirs first? Berg,
Dickhaut and McCabe (1995) used an investment setting to investigate the role
of trust in reciprocity. In this study, participants each received a $10
show-up fee, and were assigned to one of two conditions in a set of 32 pairs:
they would either be a trustee, immediately pocketing the full amount; or they
would become a trustor, deciding how much of their $10 to send to their trustee.
This investment was then tripled and given to the trustee, who then had to
decide how much of their new, larger total to send back to their trustor. Got
that? Phew.
So,
what did they find? Well, the figure above (Fig. 2; Berg et al., 1995) shows
the amount paid and received by each participant within their pairs. The
initial investment fluctuated considerably, suggesting a wide variation in the
amount of trust felt by the trustors, affecting their generosity. However, the trustee
actions are more interesting: just over a third of those who received money
reciprocated that trust with an act of greater generosity, returning a larger
amount to their trustor.
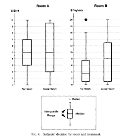
You
might initially think we’d be placing too much trust by investing in a 33% reciprocity
rate. However, Berg et al. (1995) considered this by introducing a “social
history” element: a further 28 pairs of participants were involved in a
replication experiment, but this time all participants knew the rates of
reciprocation from the previous experiment. As such, you might expect fewer
trustors to invest. The figure below (Fig. 4; Berg et al., 1995) suggests you
should consider otherwise.
When
previous reciprocity rates were known, trustees were more aware that a larger
investment from their trustor was related to a higher level of trust, and
therefore deserved more reciprocation, resulting in a correlation between reciprocity
and investment (Berg et al., 1995). So, knowledge about previous rates of the benefits
of trusting increased the likelihood for participants to believe in its
effects, and therefore use it as a basis for investment and follow-up
reciprocation.
How
does all this investment nonsense relate to gathering participants, then? In the
case of other experimenter, let them know that they can trust you, and in
return you’d be placing a lot of trust in them. After all, it’s your
dissertation – the most important project of your uni career! And if them
investing time in something so crucial for you means that you can reciprocate
the same for them, all the better.
References
Cialdini, R. B.
(2009). Influence: Science and practice.
Boston: Pearson Education.
Berg, J., Dickhaut,
J., & McCabe, K. (1995). Trust, reciprocity, and social history. Games and Economic Behaviour, 10,
122-142.


No comments:
Post a Comment
Note: Only a member of this blog may post a comment.